This is a Graph Problem - Not a Tree Problem! Part IV
I think this problem had everything: hashtables, hashsets, recursive DFS and non-recursive DFS and even applications of the dangerous .GetHashCode(), which I don't like but sometimes it is good enough when the constraints are limited, which is the case of this problem.
But the problem isn't a tree problem - it is a graph one. Convert the tree to a graph (needed because you'll be navigating up and down the tree), and that's where I'm using .GetHashCode() to uniquely identify the nodes (worked), then for each node (non-recursive DFS) perform a search (recursive DFS) looking for the max path, traversing only in the case of unique numbers. Notice that you need to keep going even if you find a -ve node since there might be a larger unvisited number behind that node. Code is down below, cheers, ACC.
Maximum Distinct Path Sum in a Binary Tree - LeetCode
You are given the root of a binary tree, where each node contains an integer value.
A valid path in the tree is a sequence of connected nodes such that:
- The path can start and end at any node in the tree.
- The path does not need to pass through the root.
- All node values along the path are distinct.
Return an integer denoting the maximum possible sum of node values among all valid paths.
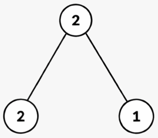
Example 1:

Input: root = [2,2,1]
Output: 3
Explanation:
- The path
2 → 2is invalid because the value 2 is not distinct. - The maximum-sum valid path is
2 → 1, with a sum =2 + 1 = 3.
Example 2:

Input: root = [1,-2,5,null,null,3,5]
Output: 9
Explanation:
- The path
3 → 5 → 5is invalid due to duplicate value 5. - The maximum-sum valid path is
1 → 5 → 3, with a sum =1 + 5 + 3 = 9.
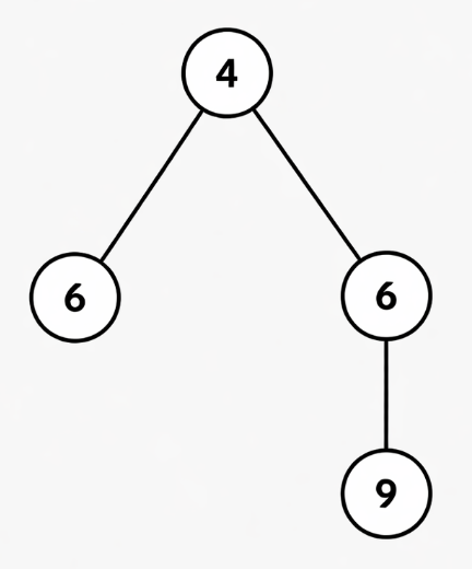
Example 3:
Input: root = [4,6,6,null,null,null,9]
Output: 19
Explanation:
- The path
6 → 4 → 6 → 9is invalid because the value 6 appears more than once. - The maximum-sum valid path is
4 → 6 → 9, with a sum =4 + 6 + 9 = 19.
Constraints:
- The number of nodes in the tree is in the range
[1, 1000]. -1000 <= Node.val <= 1000
public class Solution {
public int MaxSum(TreeNode root)
{
Hashtable graph = new Hashtable();
CreateGraphFromTree(root, null, graph);
int maxVal = Int32.MinValue;
Stack stack = new Stack();
stack.Push(root);
while (stack.Count > 0)
{
TreeNode currentNode = stack.Pop();
int nodeMaxPathSum = Int32.MinValue;
HashSet numbersUsed = new HashSet();
numbersUsed.Add(currentNode.val);
MaxUniquePath(currentNode, graph, numbersUsed, currentNode.val, ref nodeMaxPathSum);
maxVal = Math.Max(maxVal, nodeMaxPathSum);
if (currentNode.left != null) stack.Push(currentNode.left);
if (currentNode.right != null) stack.Push(currentNode.right);
}
return maxVal;
}
private void MaxUniquePath(TreeNode node, Hashtable graph, HashSet numbersUsed, int currentPathSum, ref int maxPathSum)
{
if (node == null) return;
maxPathSum = Math.Max(maxPathSum, currentPathSum);
int nodeId = node.GetHashCode();
if (graph.ContainsKey(nodeId))
{
HashSet connections = (HashSet)graph[nodeId];
foreach (TreeNode connectedNode in connections)
{
if (!numbersUsed.Contains(connectedNode.val))
{
numbersUsed.Add(connectedNode.val);
MaxUniquePath(connectedNode, graph, numbersUsed, currentPathSum + connectedNode.val, ref maxPathSum);
numbersUsed.Remove(connectedNode.val);
}
}
}
}
private void CreateGraphFromTree(TreeNode node, TreeNode parent, Hashtable graph)
{
if (node == null) return;
graph.Add(node.GetHashCode(), new HashSet());
HashSet connections = (HashSet)graph[node.GetHashCode()];
if (parent != null) connections.Add(parent);
if (node.left != null)
{
connections.Add(node.left);
CreateGraphFromTree(node.left, node, graph);
}
if (node.right != null)
{
connections.Add(node.right);
CreateGraphFromTree(node.right, node, graph);
}
}
}

Comments
Post a Comment